Szukaj na tym blogu

poniedziałek, 20 grudnia 2021

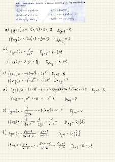
6.81_ klasa 3_ 4LO

 


Brak komentarzy:

Prześlij komentarz

Popularne posty