Szukaj na tym blogu

poniedziałek, 20 grudnia 2021

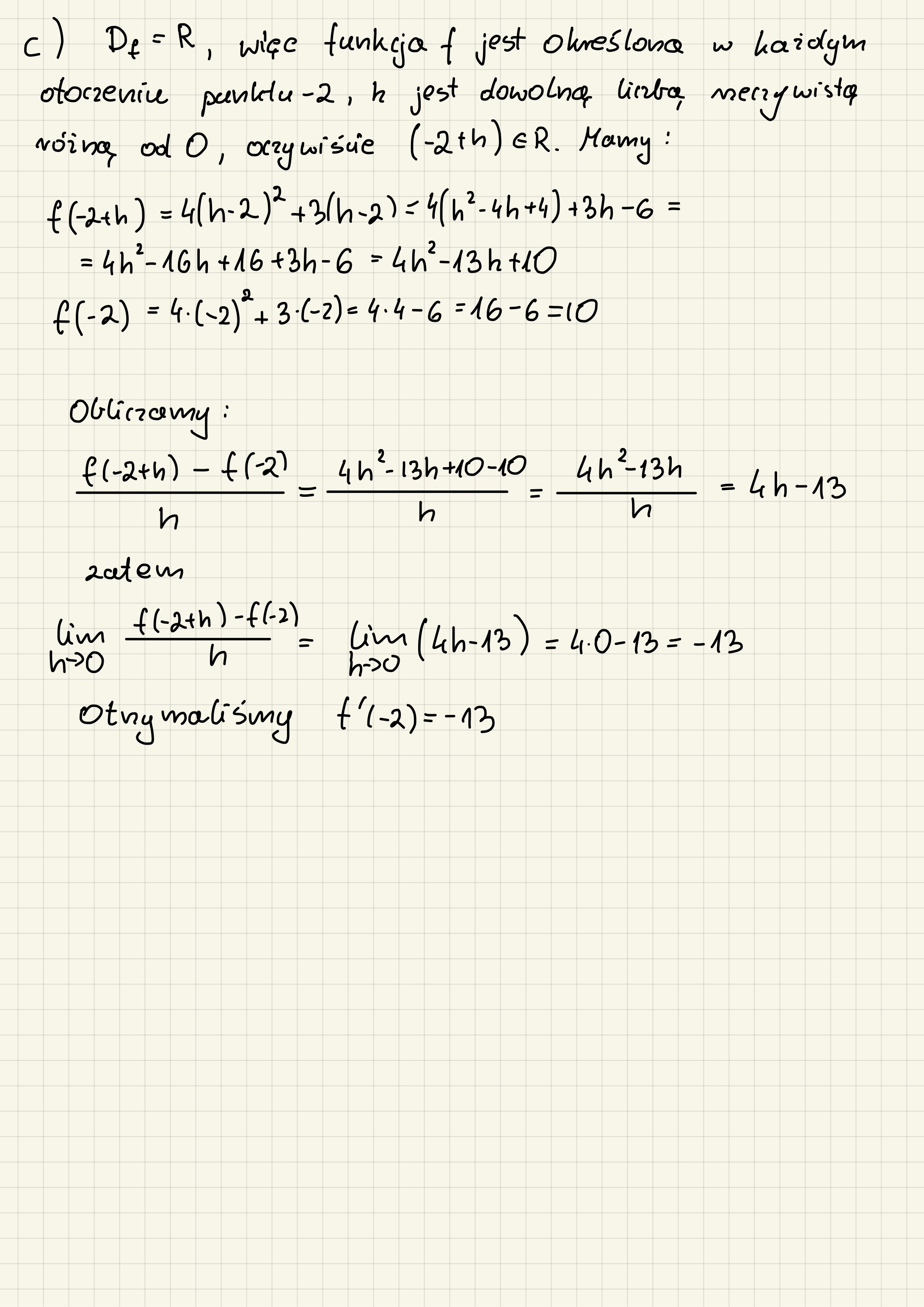
6.70_ klasa 3_ 4LO

 






Brak komentarzy:

Prześlij komentarz

Popularne posty