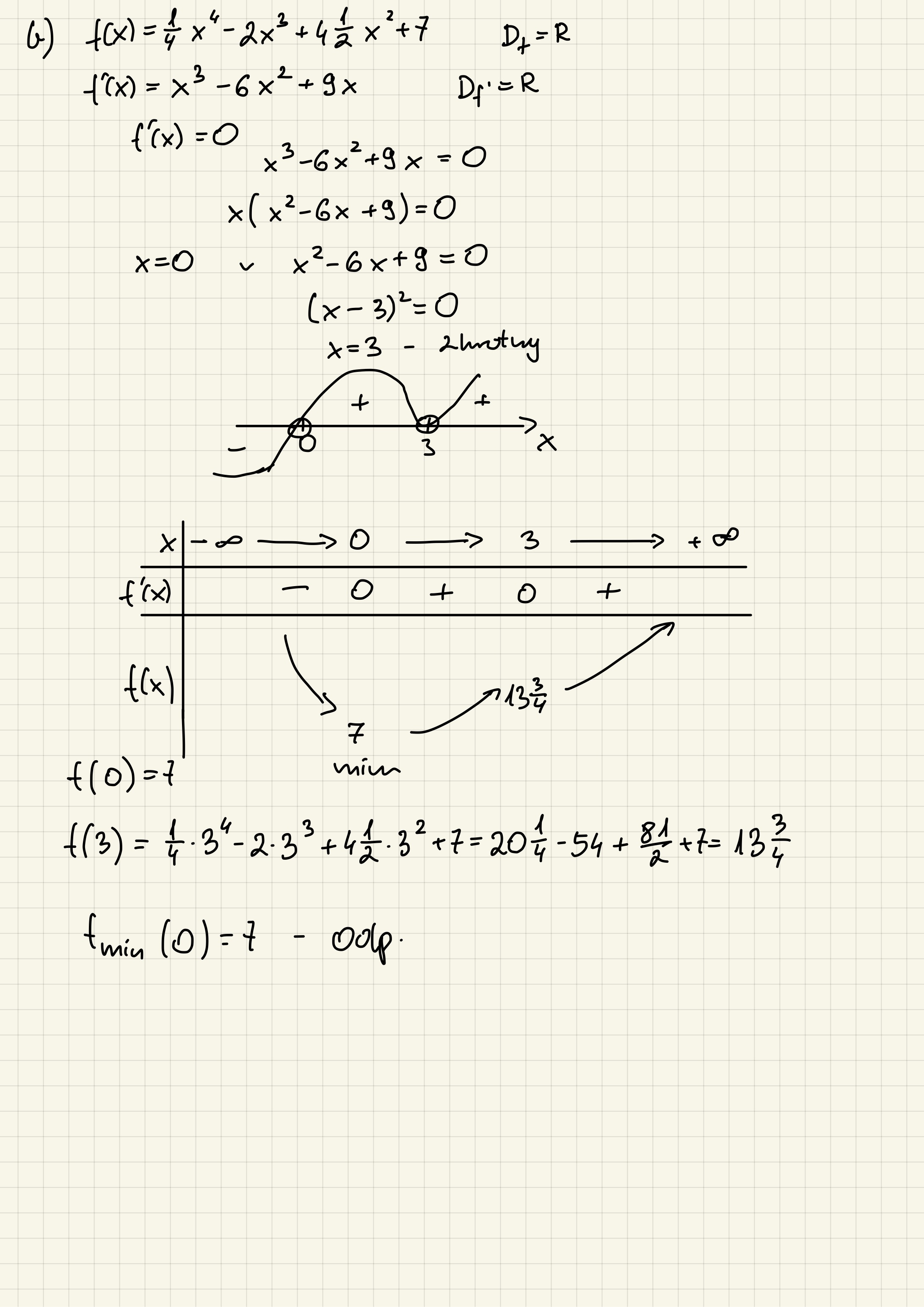
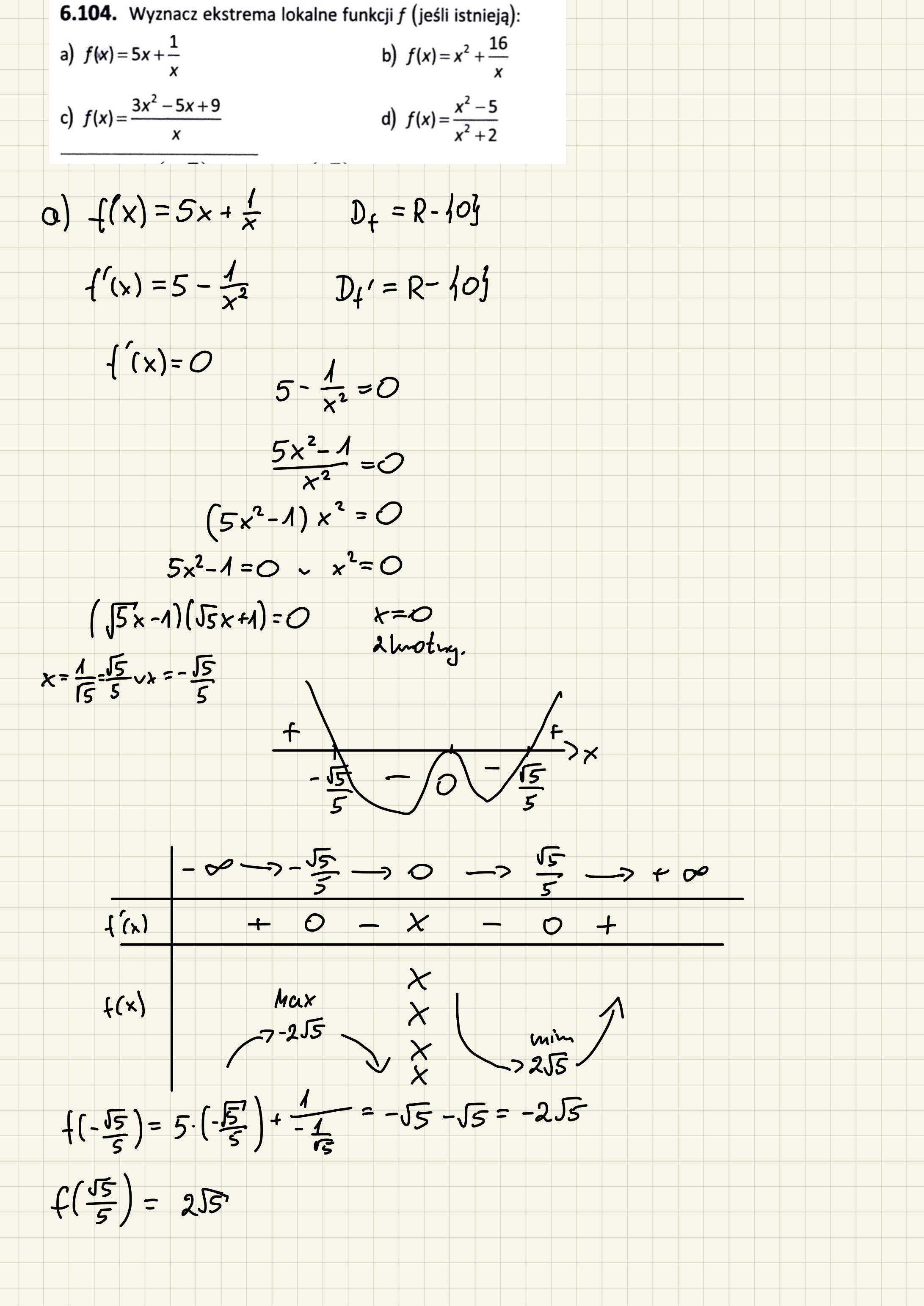
Strona z rozwiązaniami zadań z matematyki. KLIKNIJ NA WYBRANY ZBIÓR ZADAŃ OBOK. Donation (darowizna) BTC: 13iygczJRA6b2YAAFsjwG1wqnshmfnm3pP
Szukaj na tym blogu
środa, 29 grudnia 2021
Subskrybuj:
Komentarze (Atom)
Popularne posty
-
1. Określenie ciągu. Sposoby opisywania ciągów. 2. Monotoniczność ciągów. 3. Ciąg arytmetyczny. 4. Suma początkowych wyrazów ciągu arytmetyc...
-
1. Wielomiany jednej zmiennej rzeczywistej. 2. Dodawanie, odejmowanie i mnożenie wielomianów 3. Równość wielomianów 4. Wzory skróconego m...
-
1. Granica funkcji w punkcie. 2. Obliczanie granicy funkcji w punkcie. 3. Granice jednostronne funkcji w punkcie. 4. Granica funkcji w niesk...
-
1. Ułamek algebraiczny. Skracanie i rozszerzenie ułamków algebraicznych 2. Dodawanie i odejmowanie ułamków algebraicznych. 3. Mnożenie i dz...
-
1. Funkcja trygonometryczna zmiennej rzeczywistej - powtórzenie wiadomości z klasy 2. 2. Przekształcenia wykresów funkcji trygonometrycznych...
-
1. Wektor w układzie współrzędnych. Podział odcinka. 2. Kąty między niezerowymi wektorami. 3. Prosta w układzie współrzędnych. 4. Odległość ...
-
1. Podział czworokątów. Trapezoidy. 2. Trapezy. 3. Równoległoboki. 4. Okrąg opisany na czworokącie. 5. Okrąg wpisany w czworokąt. 6. Okrąg o...
-
1. Określenie ciągu. Sposoby opisywania ciągów. 2. Monotoniczność ciągów. 3. Ciąg arytmetyczny. 4. Suma początkowych wyrazów ciągu arytme...
-
1. Twierdzenie sinusów. 2. Twierdzenie cosinusów. 3. Zastosowanie twierdzenia sinusów i twierdzenia cosinusów do rozwiązywania zadań. 4. Pol...
-
1. Miara łukowa kąta. 2. Funkcje trygonometryczne zmiennej rzeczywistej. 3. Wykres funkcji y = sinx oraz y = cosx 4. Wykres funkcji y = t...
