Szukaj na tym blogu

sobota, 5 lutego 2022

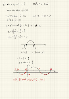
7.23p_ klasa 3_ 4LO PR





 

Brak komentarzy:

Prześlij komentarz

Popularne posty