Szukaj na tym blogu

sobota, 8 stycznia 2022

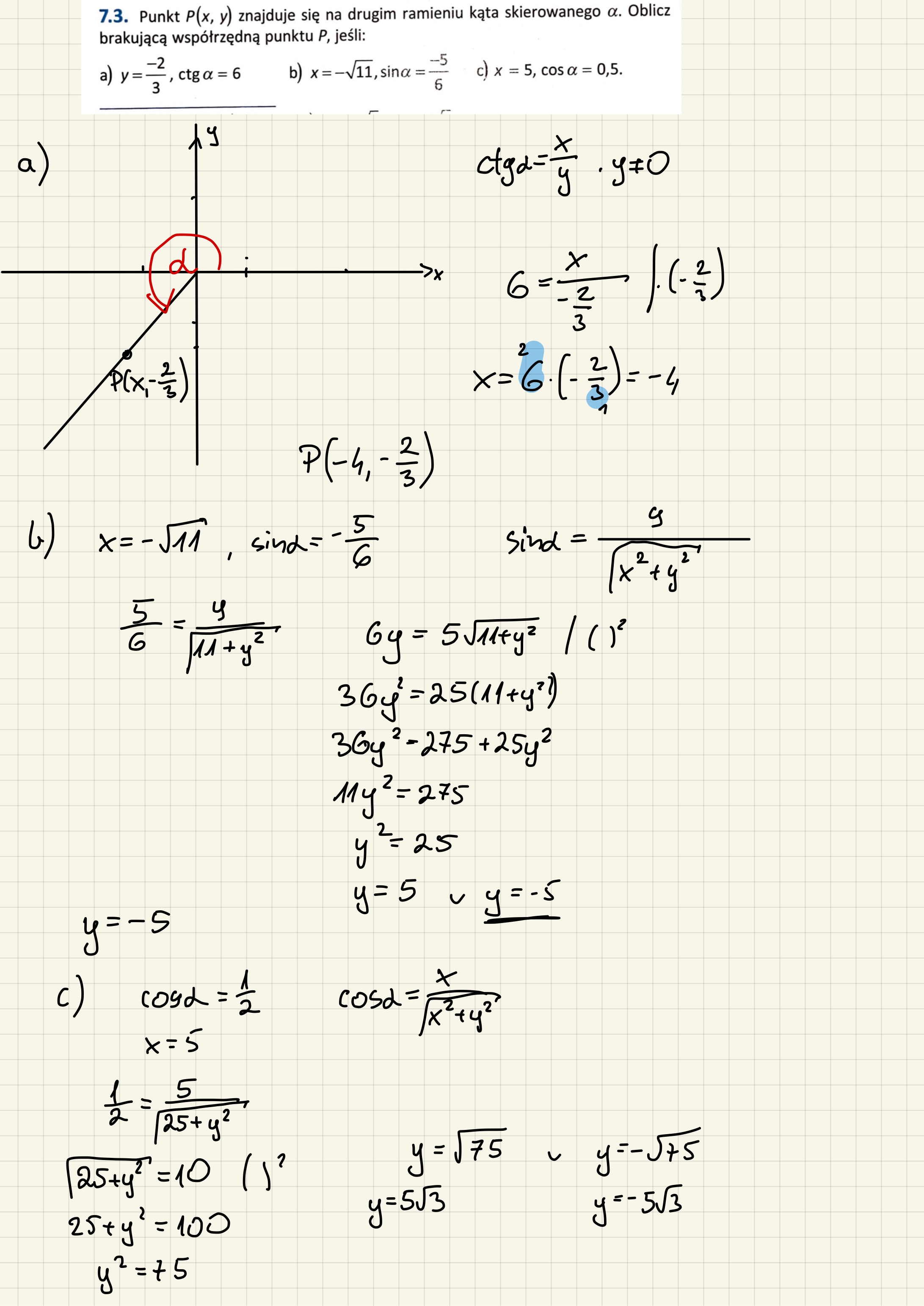
7_3_ klasa 3_ 4LO PR


 

Brak komentarzy:

Prześlij komentarz

Popularne posty