Szukaj na tym blogu

niedziela, 10 października 2021

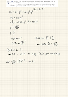
2.100_ klasa 3_ 4LO


 

Brak komentarzy:

Prześlij komentarz

Popularne posty