Szukaj na tym blogu

sobota, 6 lutego 2021

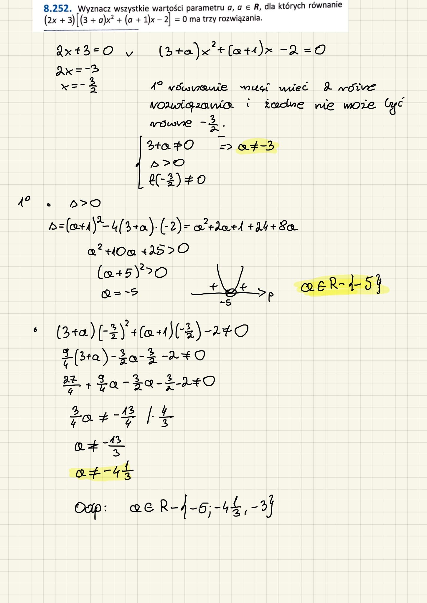
8.252 Kl 2_lo4


 

Brak komentarzy:

Prześlij komentarz

Popularne posty