Szukaj na tym blogu

czwartek, 15 października 2020

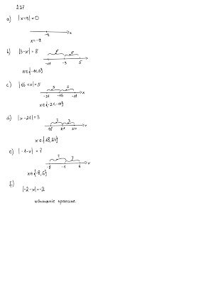
2.27 Kl 2_lo4

 




Brak komentarzy:

Prześlij komentarz

Popularne posty