Szukaj na tym blogu

niedziela, 8 stycznia 2023

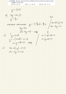
8.152_ klasa 3_ 4LO PR


 

Brak komentarzy:

Prześlij komentarz

Popularne posty